Contoh soalan struktur jahitan sulaman, contoh soalan struktur jahitan insang, contoh soalan struktur jahitan sembat, contoh soalan struktur jahitan jelujur, contoh soalan struktur jahitan in english, contoh soalan struktur jahitan tingkatan, contoh soalan struktur jahitan langsir, contoh soalan struktur jahitan asas, contoh soalan struktur sejarah tingkatan 2, contoh soalan peperiksaan perkhidmatan awam, contoh soalan psikometrik, contoh soalan upsr 2019, contoh soalan matematik tahun 3, contoh soalan medsi, contoh soalan kaji selidik, contoh soalan muet, contoh soalan pt3,

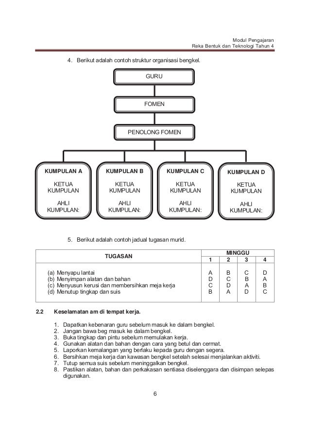
Random Image
